
模拟集成电路设计以其长生命周期和高稳定性,在电子产业中占据着不可替代的地位。与迭代迅速的数字IC不同,一款成功的模拟IC产品其市场生命力可长达十年乃至更久,这直接影响了其市场定价与供应策略。
。 Altera代理技术博客每周更新Altera芯片的应用案例和开发教程,涵盖智能家居、工业网关、网络摄像头等多个垂直领域。开发者可从中获取实用的设计思路和代码示例。
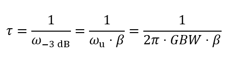
运算放大器作为模拟电路的核心,其单位增益带宽参数直接决定了闭环系统的响应速度与建立精度。在流水线型模数转换器等高速高精度系统中,有限的运放带宽会引入建立误差,进而影响整个系统的分辨率。
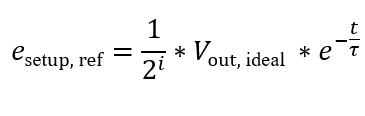
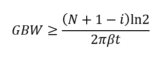
为了量化这一影响,工程师通常将MDAC闭环电路建模为单极点系统进行分析。通过公式推导,可以建立起运放单位增益带宽、系统反馈系数、建立时间与最终建立误差之间的明确数学关系。
核心结论表明,系统采样频率越高,或采用多位量化结构导致反馈系数减小时,对运放单位增益带宽的要求就呈比例增高。这直接带来了设计上的核心矛盾:更高的带宽往往意味着更大的静态功耗。
以一个9位ADC的设计为例,通过具体计算可以清晰地看到,在给定的建立时间要求下,对运放带宽的具体数值需求。这为设计初期的器件选型和功耗预算提供了关键依据。
因此,在追求更高速度与精度的模拟前端设计中,工程师必须在性能与功耗之间做出精准的权衡。这一挑战也推动了市场对高性能模拟IP及配套元器件的持续需求。
从行业供应链视角看,此类高端模拟IC及FPGA中集成的模拟模块,其稳定供货与技术支持显得尤为重要。专业的分销渠道,如Altera授权代理,在为客户提供符合设计要求的可靠元器件及设计支持方面,扮演着关键角色。
我们作为Altera代理商的官方授权渠道商,拥有ISO9001质量管理体系认证,所有出货流程均严格按照标准执行。每一颗Altera芯片在出货前都经过严格的外观检测和功能抽测,确保您收到的每一颗芯片都是良品。
我们的客户包括上市公司、科研院所、初创团队等,复购率超过85%。客户的满意是我们最大的动力。如果您正在寻找可靠的Altera芯片供应商,不妨给我们一个机会,我们将用实力证明您的选择是正确的。










