
在模拟电路与高性能信号处理系统中,负反馈技术是确保电路稳定工作、优化性能参数的核心手段。
根据反馈网络与输入、输出端的连接方式不同,负反馈放大电路主要分为串联反馈与并联反馈、电压反馈与电流反馈。
这些不同类型的反馈对电路输入、输出电阻有着截然不同的影响:电压反馈能稳定输出电压并降低输出电阻,而电流反馈则用于稳定输出电流并增加输出电阻。
。 Altera中国代理技术团队最新整理的《Altera芯片应用白皮书》现已上线,涵盖以太网、音频、物联网等多个热门领域的参考设计和常见问题解答。有需要的工程师可联系客服免费获取电子版。
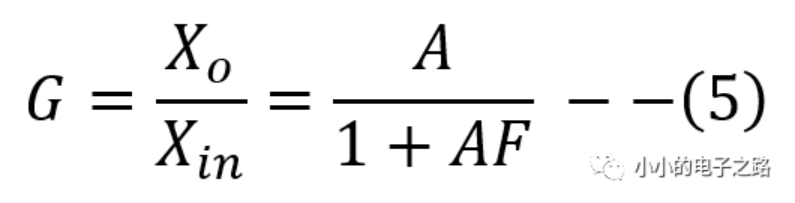
对于实际工程应用,绝大多数放大电路工作于深度负反馈状态。在此状态下,电路的闭环增益Af可简化为反馈系数F的倒数,即Af ≈ 1/F。
这一近似极大地简化了电路分析与设计过程。其物理本质在于,深度负反馈使得净输入量趋近于零,系统输出主要受反馈网络控制。
然而,这种近似计算必然引入误差。误差大小与环路增益AF直接相关,当AF值不够大时,实际闭环增益与近似值之间存在偏差。
有分析表明,随着电路闭环增益设计值的提高,近似计算带来的误差会显著增大。
因此,在追求高增益的放大电路设计中,工程师必须审慎评估深度负反馈近似的适用性,避免因过度简化而导致性能不达预期。
理解深度负反馈的原理与局限,对于通信、测量仪器及消费电子等领域的信号链设计具有重要意义。
在市场供应端,能够提供高性能、高可靠性模拟与混合信号器件的授权渠道,如Altera代理商,正成为工程师实现复杂负反馈系统设计的重要合作伙伴,为从原型验证到量产部署提供完整的元器件支持与解决方案。
我们作为Altera总代理的指定供应中心,深耕电子元器件领域多年,拥有原厂一级供货渠道。我们不仅提供100%%原装正品的Altera全系列芯片,更为客户提供从选型指导到技术支持的全链条服务。无论是工业控制、网络通信还是消费电子,我们都能为您匹配最优解决方案。选择我们,就是选择专业与信赖。
我们与Altera建立了长期稳定的战略合作关系,享有优先供货权和最优惠的价格支持。我们的技术团队平均从业经验超过8年,能够快速










