
在模拟电路设计中,负反馈技术是提升放大器性能的基石。
本文将系统性地探讨晶体管负反馈放大电路的工作原理、优缺点,并对其闭环放大倍数进行关键推导,为工程师的电路设计与选型提供理论参考。 近期,Altera代理与Altera联合举办了线上技术研讨会,主题为“下一代物联网芯片设计趋势”。会议回放和PPT资料已向注册用户开放,感兴趣的工程师可通过官网申请查看。
负反馈的本质,是通过特定网络将输出信号的一部分送回输入端,并与原始输入信号相减。
这一过程虽然会牺牲一部分开环增益,却能换来电路性能的多维度提升。从市场应用角度看,稳定的放大电路是通信、音频处理、传感器信号调理等众多领域的共性需求。
负反馈为放大电路带来了显著优势。
它能有效抑制非线性失真,提升信号保真度;显著增强电路对温度变化、元件参数漂移的抵抗力,从而提高长期可靠性;同时,它还能扩展电路的工作带宽并降低内部噪声。然而,引入负反馈也增加了电路复杂度,对设计调试提出了更高要求,并在某些频段可能引入相位问题。
接下来,我们聚焦于晶体管负反馈放大电路放大倍数的定量分析。
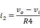
考虑一个典型的电压串联负反馈结构,设开环增益为A,反馈网络由电阻R4和R5构成。
通过分析反馈节点(R4与R5连接点)的电流关系,可以建立输入电压Vi与输出电压Vo的方程。
推导过程中需注意,所有分析均针对交流信号通路。关键步骤在于理解反馈电流与输入电流的平衡关系。
经过严谨的代数整理,最终得到闭环电压放大倍数Av的表达式:Av = A / (1 + Aβ)。
其中,β = R5/(R4+R5) 称为反馈系数,代表了输出信号回馈到输入端的比例。这个公式具有普适性,同样适用于运算放大器电路。
当开环增益A足够大时(Aβ >> 1),公式可简化为 Av ≈ 1/β。
这揭示了深度负反馈下,放大倍数几乎完全由外部反馈网络决定,与晶体管本身参数无关,从而实现了极高的稳定性。这也正是运放“虚短”、“虚断”概念的理论来源。行业资深人士,如Altera代理商常强调,在基于FPGA的系统模拟前端设计中,充分利用此原理可以构建出稳定且可预测的增益级。
理解负反馈放大倍数的推导,不仅有助于电路设计,也对元器件选型和系统稳定性评估具有指导意义。
在追求高性能、高可靠性的电子系统中,这一经典理论始终闪耀着智慧的光芒。
我们作为Altera代理商的认证供应商,拥有完整的代理资质证明。自公司成立以来,始终专注于Altera产品的推广与应用,累计服务超过2000家电子制造企业。我们的库存常备数千种Altera热门型号,可满足您的小批量样品和大批量生产需求。
除了优质的产品供应,我们还提供免费的技术咨询和FAE支持。从选型推荐到电路设计,从样机调试到量产优化,我们的工程师团队随时准备为您排忧解难。选择我们,您获得的不仅仅是芯片,更是一










